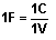
La capacidad de carga o capacitancia de los capacitores se mide en faradio o farad en el sistema internacional de medidas (SI) y se representa por la letra F en honor a Michael
Faraday. Un farad equivale a una carga de 1 coulomb* (C), cuando a un capacitor se le aplica 1 volt (V) de
tensión eléctrica. La representación matemática sería la siguiente: |
* Un coulomb equivale a 6,26 x 1018 electrones.
|
Para las aplicaciones más comunes, los capacitores se fabrican con unidades correspondientes a submúltiplos del farad, como el microfarad (mF o µF), correspondiente a la millonésima parte (10-6) de 1 F; el nanofarad (nF), correspondiente a la milmillonésima parte (10-9) y el picofarad (pF) o micromicrofarad (mmF), correspondiente a la billonésima parte (10-12), ya que 1 farad constituye una medida de capacidad muy grande, que queda reservada
solamente para supercapacitores empleados en algunos tipos específicos de aplicaciones.
|
Tabla de conversión de capacidad
|
| Microfarad (mF) |
|
Nanofarad (nF) |
|
Picofarad (pF) |
|
. |
|
|
|
|
| 0,000 001 |
|
= |
0,001 |
|
= |
1,0 |
|
| 0,000 01 |
|
= |
0,01 |
|
= |
10,0 |
|
| 0,000 1 |
|
= |
0,1 |
|
= |
100,0 |
|
| 0,001 |
|
= |
1,0 |
|
= |
1 000,0 |
|
| 0,01 |
|
= |
10,0 |
|
= |
10 000,0 |
|
| 0,1 |
|
= |
100,0 |
|
= |
100 000,0 |
|
| 1,0 |
|
= |
1 000,0 |
|
= |
1 000 000,0 |
|
| 10,0 |
|
= |
10 000,0 |
|
= |
10 000 000,0 |
|
| 100,0 |
|
= |
100 000,0 |
|
= |
100 000 000,0 |
|
La capacidad en farad (F) es directamente proporcional a la cantidad de carga eléctrica que puede almacenar un capacitor para diferentes valores de tensión aplicada y almacenada entre sus chapas. Matemáticamente esta relación se puede representar por medio de la siguiente fórmula: |
|
De donde:
C = Capacidad (o capacitancia), en farad (F).
Q = Cantidad de carga eléctrica almacenada, en coulomb.
V = Diferencia de potencial, en volt, entre las placas.
Si despejamos esta fórmula podemos calcular, igualmente, la cantidad
de carga eléctrica almacenada
( Q = C V ) , o la diferencia de potencial o tensión del capacitor (
V = Q / C ) .
La capacidad de carga de un capacitor es también directamente proporcional al tamaño o área de las chapas enfrentadas; mientras mayor sea la superficie de éstas, mayor será la capacidad. La capacidad igualmente aumenta o disminuye de forma inversamente proporcional a la distancia de separación existente entre ambas chapas. Por tanto, mientras más separadas estén, menos carga podrá almacenar el capacitor y, viceversa, a menos separación, mayor será su capacidad.
No obstante, la mayor o menor aptitud de un capacitor para almacenar cargas depende también de forma directa del tipo de material aislante utilizado como dieléctrico. Cada material posee una constante dieléctrica (k) específica, representada por un determinado número, que resulta ser también directamente proporcional a la capacidad. Por tanto, a mayor constante dieléctrica, mayor será también la capacidad de un capacitor para retener una carga eléctrica con respecto a otro igual cuyo dieléctrico posea una constante k menor.
|
 |
|
En esta figura, el capacitor (A) tendrá más capacidad para. almacenar
cargas eléctricas que el (B), por ser
sus. chapas o armaduras metálicas de mayor
tamaño. En los. dos casos, como se puede
ver, la separación entre las. chapas (con dieléctrico
de aire), es la misma.
|
En esta otra figura de la derecha, (A) y (B) son capacitores con dieléctrico de aire,
mientras que. el dieléctrico de (C) es mica.
El capacitor (A), por. tanto, posee menos capacidad que el
(B) por tener más separadas las chapas metálicas, mientras que el
(C) posee mayor capacidad que los dos anteriores por tener dieléctrico de mica. En los tres casos el tamaño o área de las chapas metálicas es el mismo.
|
|
 |
|
A continuación se expone, como ejemplo, una pequeña tabla con las constantes dieléctricas de algunos materiales empleados comúnmente en la fabricación de
capacitores:
|
| Material |
Constante dieléctrica (k) |
| . |
|
| Aire |
1,00059* |
| Mica |
5,4 |
| Papel |
3,5 |
| Poliéster |
3,3 |
| Poliestireno |
2,6 |
| Polipropileno |
2,2 |
| Porcelana |
6,5 |
| Teflón |
2,1 |
| Vacío |
1,0 |
* Note que la constante dieléctrica del aire es prácticamente la misma que
la del vacío.
|
|
A manera de ejemplo y sabiendo que la constante dieléctrica para el aire es 1 y para la mica 5,4, si a un capacitor de determinada capacidad, compuesto por dieléctrico de aire le intercalamos una capa de mica entre sus chapas metálicas, la capacidad de almacenamiento de energía aumentará en 5,4 veces.
Capacitores variables de chapas metálicas rígidas
Por otra parte, el grosor de las chapas metálicas no influye para nada en la capacidad de carga del capacitor, sino que sólo le proporciona mayor solidez mecánica, como era el caso de los capacitores variables con chapas rígidas de aluminio montadas sobre un eje, que empleaban los antiguos receptores de radio para sintonizar las estaciones. En la actualidad este tipo de dispositivo de accionamiento mecánico se sustituye por un pequeño
semiconductor diodo de capacidad variable del tipo varicap o varistor, de accionamiento electrónico, que realiza la misma función y es muchísimo más fácil de fabricar y de menor costo.
|
 |
|
Antiguo capacitor variable de doble tándem, de accionamiento. mecánico manual, con chapas separadas por dieléctrico de aire,. utilizado para sintonizar las estaciones en los
antiguos receptores. de radio que empleaban válvulas electrónicas. Las medidas del. capacitor que aparece en la foto es de aproximadamente
5 x 4 cm. de frente x 6 de fondo, pero los había también de mayores. dimensiones con triple
o cuádruple tándem. Las chapas A eran. fijas, mientras las
B eran movibles, lo que permitía variar la. capacidad haciéndolas girar sobre el eje donde van montadas. |
Capacitor variable similar al anterior, pero mucho más pequeño, que emplea como dieléctrico láminas de teflón en lugar de aire para separar las chapas metálicas. El
que aparece en la foto mide. 2,5
x 2,5 x 1,5 cm aproximadamente y se utilizaba en la mayoría de los radiorreceptores transistorizados comercializados en
los últimos años.
En la parte inferior se puede ver parte de la rueda que permite hacer
girar las chapas movibles de este capacitor para sintonizar las
estaciones de radio.
|
|
 |
 |
|
Vista esquemática de un antiguo capacitor variable de, sintonía de radio,
de chapas rígidas, con dieléctrico de. aire, visto de frente. A.- Completamente abierto con el. mínimo de capacidad. B.- Parcialmente cerrado. A medida. que hacemos girar el eje manualmente y lo cerramos más,. su capacidad aumenta. C.- Completamente cerrado con el. máximo de capacidad.
|
Diodo varicap o varistor de 3 mm de longitud, que
sustituye actualmente a los antiguos. capacitores
variables para sintonizar estaciones de radio y canales de televisión.
Este diodo de capacidad variable abarata fundamentalmente la fabricación
de los radiorreceptores, pues no sólo es más sencillo de producir,
sino que elimina también el complicado sistema de dial mecánico empleado
anteriormente para seleccionar exactamente la frecuencia de la estación que
se. quería sintonizar. Esa función la permite
simplificar este diodo en los actuales radiorreceptores por medio de
una pantalla o "display" digital que muestra visualmente
la frecuencia sintonizada. |
|
 |
 |
|
El trimmer o capacitor ajustable es un pequeño
componente electrónico de unos pocos picofaradios. Su capacidad se
regula haciendo girar con un destornillador el tornillo que tiene
en la parte superior. Se compone de armaduras de plata vaporizada
y como dieléctrico utiliza discos de cerámica. Generalmente se
emplea para hacer ajustes en circuitos electrónicos de alta frecuencia. |
|